Dugattyúrudas munkahengerek, alapfogalmak
Munkahengerek csoportosítása
Az oktatási fejezetek legelején szó volt arról, hogy hogyan épül fel egy pneumatikus rendszer és melyek a legfontosabb elemei.
- Levegőelőkészítő egységek
- Vezérlő szelepek
- Áramlásszabályzószelepek
- Végrehajtó elemek, munkahengerek
- Pneumatika csövek, csatlakozók
Ebben a fejezetben a munkahengerekről, mint végrehajtó elemekről lesz szó.
A pneumatikában a legfontosabb működtető szerkezet, végrehajtó elem a munkahenger.
A munkahenger egy olyan energia-átalakító eszköz, amely az áramló közeg nyomási energiáját alakítja át lineáris vagy forgómozgássá.
A munkahengereket - különbözőszempontok szerint - csoportosíthatjuk:- kivitel szerint
- dugattyúrudas munkahenger
- dugattyúrúd nélküli munkahenger
- tömlő henger
- membrán henger
- forgató henger
- létrehozott mozgás szerint
- lineárismozgású (egyenes vonalú)
- forgó mozgású
- működtetés szerint
- egyszeres működésű
- kettős működésű
- helyzetstabilitás szerint
- egyállású
- kétállású
- három-, vagy négyállású
- véghelyzet-csillapítás szerint
- állítható pneumatikus löketvég-csillapítással
- rugalmas löketvég-csillapítással
- löketvég-csillapítás nélkül
Mivel kialakításában és működésében nagyon sokféle munkahenger létezik, ezért számos szempont szerint csoportosíthatók a munkahengerek. Az oktatási sorozatban csak a legáltalánosabb munkahengereket és a hozzá kötődő szükséges ismereteket nézzük át.
Dugattyúrudas munkahengerek
A munkahenger alapkivitele nagyon egyszerű, mégis a különböző gyártók, különféle változatokat alakítottak ki. Annak megfelelően, hogy milyen feladatot kell elvégezni a hengereknek, különféle szabványos és szabványon kívüli típusai terjedtek el.
A teljesség igénye nélkül, a legáltalánosabban használatos típusok, amelyeknek további változatai, speciális kivitelei is ismeretesek:
- mini ceruza henger
- körprofil henger| DIN ISO 6432
- profil henger |ISO 15552 | VDMA 24562
- kompakt henger |ISO 21287 | UNITOP
- rövidlöketű henger
- összehúzócsavaros henger | ISO 15552

A munkahengerek kialakításával, működésével kapcsolatosan az alábbi fogalmakat szükséges tisztázni:
- munkahenger felépítése
- átmérő és lökethossz
- hengermozgások definiálása
- henger-működtetés értelmezése
- munkahenger szimbólumok
- löketvég-csillapítás
- munkahenger mágneses helyzetérzékelése
- pneumatikus munkahengerek sebességének a beállítása
A munkahenger felépítése
Általánosan a dugattyúrudas munkahenger hengercsőből áll, amelyet mindkét végén fedél zár le. Ebben a hengercsőben dugattyú mozog, amelyhez a dugattyúrúd csatlakozik.
A dugattyú mozgását útszelepen keresztül a sűrített levegő vezérli, attól függően, hogy melyik hengertér kapja a vezérelt levegőt. Az erőátvitel a dugattyúrúddal történik.
A dugattyúrudas munkahengerek a létrehozott mozgás szerint lineáris munkahengerek, mert a dugattyúrúd - amelyen az erőátvitel történik - egyenes vonalú mozgást végez.

Átmérő és lökethossz
A dugattyúrudas munkahengereknek a típus-kialakítás mellett két meghatározó paramétere van:
- henger átmérő
- lökethossz
Például (HAFNER HIF típusú munkahenger jelölése): HIF 40/320
Típusszám értelmezése:- HIF | a munkahenger típusa, amely egyértelműen definiálja a munkahenger kivitelét
(HIF = ISO 15552 szabványú kettősműködésű munkahenger, állítható löketvég-csillapítással, érintésmentes érzékeléssel - amelynél a helyzetérzékelő a profilcsőben kerül elhelyezésre) - 40 | a munkahenger átmérője [mm]
- 320 | a munkahenger lökethossza [mm]
A munkahenger átmérője tulajdonképpen a hengercső belső átmérője, amelyben a dugattyú mozog.
Ez határozza meg, hogy adottnyomáson mekkora nyomóerő kifejtésre képes a munkahenger.
A lökethossz a munkahengernek egy szerkezeti mérete. Ezen a hosszon képes a henger munkavégzésre.

A nagy lökethossz jelentősen megnöveli a vezetőpersely valamint a dugattyúrúd terhelését. A kihajlás kiküszöbölése érdekében a dugattyúrúd átmérőjét meg kell növelni - gyakorlati szempontok szerint, nagyobb átmérőjű munkahengert szükséges választani, amelynek nagyobb a dugattyúrúd-átmérője.
Nagy lökethosszak esetén - a terhelés mértékének és irányának megfelelően - gondoskodni kell a megfelelő megvezetésről.
A munkahengerek átmérői és lökethosszai szabványosítottak, amelyek közül a legjellemzőbb méretek:
Munkahenger átmérője [mm]:
| ø8 | ø10 | ø12 | ø16 | ø20 | ø25| ø32 | ø40 | ø50 | ø63 | ø80 | ø100 | ø125 | ø160 | ø200 | ø250 | ø320 |
Lökethossz mérete [mm]:
| 5 | 10 | 15 | 20 | 25 | 30 | 40| 50 | 60 | 80 | 100 | 125 | 160 | 200 | 250 | 320 | 400 | 500 | ...
A munkahenger átmérő- és lökethossz méretei a henger típusától, kivitelétől függ.
A munkahenger által kifejtett erő a sűrített levegő nyomásától, a dugattyú átmérőjétől, valamint a tömítőelemek súrlódási ellenállásától függ.
Számítsuk ki a fenti példában szereplő HI F 40/320 típusú munkahenger által kifejtett nyomóerőt 6 bar üzemi nyomáson.
Munkahenger átmérője:
Amely a tulajdonképpen amunkahenger dugattyújának az átmérője:
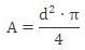
A munkahenger dugattyújának a felülete:
A kör területének a számítása, azaz a kör keresztmetszetű munkahenger dugattyújának a felülete:
A képletbe behelyettesítve az értékeket:
Üzemi nyomás:
A munkahenger nyomóerejének a számítása:
Pascal törvénye értelmében:
A képletbe behelyettesítve az értékeket:
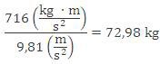
A kiszámolt értékegy elméleti erő. A gyakorlatban 5% veszteséggel számolhatunk, amely a súrlódást, valamint az egyéb veszteséget korrigálja.
Ennek megfelelően egy 40 mm átmérőjű munkahenger, 6bar nyomáson megközelítőleg 716 N nyomóerőt fejt ki.

Amennyiben a nyomóerőt elosztjuk a nehézségi gyorsulással (9,81 m/s2), akkor - gyakorlatias szemmel nézve - amunkahengerünk egy közel 73 kg-os tömeg súlyerejének felelő nyomóerőt fejt ki.
FONTOS! Ezzel az erővel - amelyet a munkahengerünk kifejt - csak megtartani lehet ezt a tömeget és nem felemelni!
Ha egyenletesen felemelünk egytárgyat, akkor a gravitációs erő ellenében munkát kell végezni. Fizikai értelemben munkavégzésről akkorbeszélünk, ha egy test erő hatására elmozdul. Emeléskor az erő irányában a test elmozdul, így munkavégzés is történik.
Hengermozgások definiálása
A munkahenger két véghelyzetét pozitív és negatív véghelyzetnek nevezzük. Ennek megfelelően a munkahenger két kamráját pluszés mínusz kamrának vagy hengertérnek nevezzük.

A kitolt dugattyúrúd a pozitív véghelyzetben van, mert a plusz kamrába irányítjuk a vezérelt levegőt.
A negatív véghelyzetben amunkahenger dugattyúrúdja betolt helyzetben van, mert a mínusz kamrába kapja a vezérlést.
Az ellentétes kamra légtelenítése alapfeltétel, hogy a benne lévő levegő szabadon kiáramolhasson.
Henger-működtetés értelmezése
Működtetés szempontjából megkülönböztetünkegyszeres - és kettős működtetésű munkahengereket.
Az egyszeres működtetésű munkahengereknél csak az egyik hengertér kap vezérelt sűrített levegőt. Ennek megfelelően csak az egyik irányban végeznek munkát a sűrített levegő által. A másik mozgásirányban rugóerő vagy külső terhelő erő biztosítja a dugattyúmozgást.
Az egyszeres működésű munkahengerek lökethosszát a beépített rugó szerkezeti mérete korlátozza, ezért az egyszeres működésűmunkahengerek - relatíve - rövid löketűek.
Kétféle kivitele létezik, annak megfelelően, hogy a rugó a dugattyú előtt vagy mögött helyezkedik el:
- egyszeres működésű munkahenger, alaphelyzetben betolt dugattyúrúddal
(a rugó a dugattyú előtt helyezkedik el) - egyszeres működésűmunkahenger, alaphelyzetben kitolt dugattyúrúddal
(a rugó a dugattyú mögött helyezkedik el)
A kettősműködésű munkahengerek esetében a bevezetett sűrített levegő energiája a dugattyút mindkét irányban működteti. A kettősműködésű munkahengert ott alkalmazzák, ahol a munkahenger mindkét irányban munkát kell végezni, illetve hosszabb löketre van szükség.
A széleskörű alkalmazási lehetőségeiből adódóan különféle kivitelei léteznek:
- kettősműködésű munkahenger
(alap kivitel) - kettősműködésű munkahenger, átmenődugattyúrúddal
(a munkahenger mindkét fedelén ki van vezetve a dugattyúrúd) - kettősműködésű munkahenger, elfordulásmentes dugattyúrúddal
(amikor a dugattyúrúd tengelye körüli elfordulás nem megengedett, akkor vagy speciális, nem körkeresztmetszetű dugattyúrúddal van szerelve a munkahenger, vagy dupla dugattyúrúd van beépítve) - kettősműködésű munkahenger, megvezetett dugattyúrúddal
(a nagyobb terhelések felvétele érdekében beépített megvezetéssel van ellátva a munkahenger, amely egyben elfordulásmentes kivitel is) - többállású munkahenger
(kétdarab munkahenger van háttal összeépítve, amelyekkel 3 vagy 4 állás különböző működési hosszmegvalósítható, attól függően, hogy mekkorák az egyes munkahengerek lökethosszai) - tandem munkahenger
(két vagy több munkahenger úgy van összeépítve, hogy a dugattyúrúdjuk is közösítve vannak. Így megnöveljük a dugattyúk- ezáltal a munkahenger nyomóerejét is egyben - felületét, anélkül, hogy nagyobb átmérőjű munkahengert alkalmaznánk.)
Munkahengerek jelölése szimbólumokkal
Az egységes ábrázolásmódalapján egyértelműen látható az adott munkahenger működése, kivitele.
FONTOS! A szimbólumok csak a munkahengerek működésére, kivitelére utalnak, és nem tartalmaz információt a munkahenger típusára, hogy az éppen kompakt-, vagy profilhengert ábrázol.


A dugattyú ketté van osztva és közötte helyezkedik el a mágnes.





A szimbólumok jelölésénél két olyan fogalommal is találkoztunk, amelyekről a következő tananyagban lesz részletesen szó:
- Löketvég-csillapítás
- Munkahenger mágneseshelyzetérzékelése
A szimbólumok értelmezéséhez most csak említést teszünk róluk...
- A löketvég-csillapítás célja a dugattyú sebességének a lecsökkentése, még mielőtt a fedéllel érintkezne...
- A pneumatikus munkahengerek dugattyújának helyzetérzékelésére a mágneses elven működő helyzetérzékelőket alkalmazunk. A dugattyúba épített állandó mágnest érzékeli a hengercsőre épített közelítéskapcsoló. Így lehet érintésmentesen érzékelni a munkahenger dugattyújának a helyzetét...
A következő fejezetben folytatjuk a munkahengerekkel kapcsolatos ismeretek áttekintését...


